On November 18, 2025, the Federal Circuit issued a precedential opinion in Duke University v. Sandoz Inc., No. 24-1078, 2025 WL 3210322 (Fed. Cir. Nov. 18, 2025) overturning a $39 million jury verdict, holding that the claim at issue is invalid for lack of adequate written description.1 Appellant Sandoz overcame a heightened burden of proof2 on appeal and successfully argued that the specification failed to demonstrate that the inventors were in possession of the full scope of the claimed chemical genus, including possession of the particular species covered by the claim at issue in this litigation.3
At issue in this case is U.S. Patent No. 9,579,270 (the “’270 patent”) entitled “Compositions and Methods for Treating Hair Loss Using Non-Naturally Occurring Prostaglandins,” which relates to treating hair loss using compositions containing prostaglandin F (“PGF”) analogs, asserted by Plaintiffs-appellees Duke University and Allergan Sales (collectively, “Allergan”) against Sandoz.4 Allergan markets Latisse® for treatment of eyelash loss by stimulating hair growth.5 Latisse® consists of a 0.03% ophthalmic solution of bimatoprost, which is a PGF analog having the following structure:6

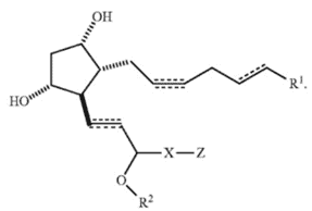
In 2018, Allergan sued Sandoz in the U.S. District Court for the District of Colorado, alleging that Sandoz’s generic version of Latisse® infringes claim 30 of the ’270 patent, which is directed to a method of growing hair using a subgenus of PGF analogs having the structure below:

and pharmaceutically acceptable salts thereof;
wherein R1 is C(O)NHR3 [i.e., an amide];
R2 is a hydrogen atom;
R3 is methyl, ethyl, or isopropyl;
X is selected from the group consisting of —C≡C—, a covalent bond, —CH=C=CH—, —CH=CH—, —CH=N—, —C(O)—, —C(O)Y—, and —(CH2)n—, wherein n is 2 to 4;
Y is selected from the group consisting of a sulfur atom, an oxygen atom, and NH; and
Z is phenyl.7
Sandoz stipulated to infringement, but challenged the validity of the ’270 patent, asserting that claim 30 is invalid for lack of written description under 35 U.S.C. § 112(a) because “the specification does not provide a single example of an actual compound claimed by claim 30 and also fails to identify sufficient commonalities of structure to provide a skilled artisan with the necessary ‘blaze marks’ to lead them to the claimed compounds.”8 At trial, the jury found that Sandoz failed to prove invalidity and awarded Allergan $39 million in infringement damages.9 The District Court denied Sandoz’s motions for new trial and judgment as a matter of law, and Sandoz timely appealed.10
Under 35 U.S.C. § 112(a), the “specification shall contain a written description of the invention” in sufficient detail to convey to those skilled in the art that the patentee had possession of the claimed subject matter at the time of the application.11 Written description for an invention claimed as a genus of chemical compounds requires disclosure of either a representative number of species of the claimed subgenus or structural features common to all members of that subgenus.12 As the Federal Circuit has emphasized, “one cannot disclose a forest in the original application, and then later pick a tree out of the forest and say here is my invention.”13 Whether a patent provides adequate written description is a question of fact.14
Sandoz contended that the specification of the ’270 patent describes a broad genus that encompasses billions of compounds, but fails to provide a skilled artisan with sufficient information for one skilled in the art to identify the claimed subgenus of 1,62015 compounds in claim 30 out of the billions of compounds encompassed by the broad genus.16 The specification did not describe any exemplary compounds that fall within the scope of claim 30.17 Rather, Allergan argued that the specification describes common structural features that “‘provide sufficient blaze marks’ to direct a skilled artisan to the claimed subgenus.”18 According to Allergan, the specification of the ’270 patent provides sufficient written description for claim 30 because it discloses three features that are common to all members of the subgenus of claim 30: (i) the characteristic prostaglandin hairpin; (ii) an amide at the C1 position; and (iii) an unsubstituted phenyl ring at the Z position.19 The Federal Circuit disagreed with Allergan, finding that “the ’270 patent, at best, discloses two prostaglandin hairpin structures and a menu of available atoms, moieties, and functional groups from which a skilled artisan could populate the R1, R2, R3, R4, X, Y, and Z positions of those structures.”20
The specification discloses a characteristic prostaglandin hairpin— generally having the same generic structure as the structure recited in claim 30—except that the specification describes open positions on different substituents on this generic chemical structure.21 In particular, the open R1, R2, X, and Z positions, as described in the specification, are each broader in scope than what is claimed in claim 30.22 In combination, the full scope of possible structures at these positions, as described by the specification, result in billions of compounds that share the prostaglandin hairpin.23 The Court found that Allergan had not introduced evidence to show that a skilled artisan would be able to select and visualize the mere thousands of compounds claimed in claim 30 from the description of the generic hairpin structure with broad or open substituents.24
Next, the Court found that the hairpin structure did not provide sufficient blaze marks with respect to the critical C1 (R1) position, which is an amide (C(O)NHR3) in claim 30.25 Allergan asserted that the specification discloses only thirteen options for the C1 position, and argued that one of the thirteen options is the claimed amide, C(O)NHR3.26 However, the Court emphasized that nine of the thirteen options that the specification discloses for the C1 position are themselves large categories, each requiring additional options within them.27 The claimed amide, C(O)NHR3, requires a further choice to be made at the R3 position, for which the specification discloses twelve further categories that may be selected.28 Moreover, the Court found that the only blaze marks provided by the specification for the C1 position—“preferred” and “more preferred” embodiments—point away from the claimed subgenus.29 The specification describes a preference for five of the thirteen options for C1, none of which include an amide at the C1 position as recited in claim 30.30
Finally, for the Z position, the specification discloses eight categories of options that may be selected, each requiring additional embedded choices, whereas claim 30 specifies Z to be a phenyl group.31 Phenyl is an aromatic group, which is one of the eight categories described in the specification.32 Allergan argued that the specification describes phenyl as the most preferred aromatic group, but as the Court clarified, “this guidance is only pertinent once the artisan selects an aromatic group from among the eight initially described options, which nothing in the specification directs such an artisan to do.”33
The Court concluded that based on the specification’s disclosures, a skilled artisan would be unable to visualize a PGF analog with an amide at the C1 position and a phenyl at the Z position, as required by the subgenus of claim 30.34 Describing the specification as a laundry list disclosure, the Federal Circuit held that “[t]he specification fails to provide the relevant artisan with sufficient blaze marks or structural commonalities among the claimed compounds to lead her to conclude that the inventor actually possessed the claimed invention.”35 The Court reversed the judgment of the District Court, determining that no reasonable fact finder could have failed to conclude that claim 30 of the ’270 patent is invalid for lack of written description.36
The Duke University v. Sandoz Inc. decision emphasizes the importance of providing sufficient description to meet the written description requirement for a chemical genus claim. Patent drafters should take caution that a broad disclosure of a genus having numerous different substituents, without providing further examples or guidance for selecting a particular subset of substituents, may be challenged under the written description requirement of 35 U.S.C. § 112 as potentially insufficient to demonstrate possession of a subgenus contained within the disclosed broader genus.
777 South Flagler Drive
Phillips Point East Tower, Suite 1000
West Palm Beach, FL 33401